广东2018年4月自考电子商务与现代物流真题及答案
编辑整理:广东自考网 发表时间:2018-08-11 16:05:55
【加入自考交流群】
《自考视频课程》名师讲解,轻松易懂,助您轻松上岸!低至199元/科!
全国2018年4月高等教育自学考试电子商务与现代物流试卷
(课程代码00915)
一、单项选择题:本大题共30小题,每小题l允,共30分。在每小题列出的备选项中只有一项是最符合题目要求的。请将其选出。
1.电子商务比实体经济更加依赖物流,物流的网下送货功能使电子商务
A.实体化 B.供应链集成化
C.时空界限无界化 D.高效化
2.以下不属于电子商务中物流方案的重点考虑因素的是
A.电子商务消费者的地区分布 B.配送规模
C。电子商务服务提供者 D.配送细节
3.物流的目的是为了用最少的物流总成本完成物品从起源地到需求地的转移,并满足客户的其他物流服务要求,这个目的集中体现在物流的哪一个要素上?
A.流量 B.流程 C.流速 D.流效
4.20世纪中后期以来,国内外比较流行的物流业绩衡量指标体系是“关键业绩衡量指标”,简称为
A.AHP B.CSF C.SST D.KPI
5.从经济学意义上讲,只要一个物流系统所需的资源不是专用性的定制资源,为使得资源得到配置,不管是偶尔需要还是重复需要,都可以采用的有效率的治理模式是
A.多边治理 B.三边治理 C.双边治理 D.单边治理
6.具有占地少,不易受天气影响全天候均衡运输的运输方式是
A。公路运输 B.管道运输C.铁路运输 D.航空运输
7.在物流组织网络化的LD—CED模式中,E的含义是
A.收集 B.物流 C. 交换 D.发送
8.中国20世纪50~80年代以来,为了提高不同运输方式和运输工具的互通、互联特性,做到商业运输邮政化,采用的方法是
A.无缝载体 B.四就直拨 C. 直拨 D.接口管理
9.仓库的分类方法很多,以下属于根据仓库的建筑结构不同进行分类的是
A.普通仓库 B.专用仓库 C. 特种仓库 D.罐式仓库
10.对仓容利用进行综合考核时,通常采用的指标是
A.容量利用系数 B.容积利用系数 C.容载利用系数 D.容重利用系数
11。商品出库作业的正确操作程序是
A.审核出库凭证→准备出库商品→库存记录→复核→发货
B.审核出库凭证→库存记录→准备出库商品一复核一+发货
C.审核出库凭证→库存记录→复核→准备出库商品→发货
D.审核出库凭证→准备出库商品啊→复核→库存记录→发货
12.在CVA库存管理法中,对于B类顾客的存货,应该采取的管理措施是
A.不允许缺货 B.允许合理范围内缺货
C.允许偶尔缺货 D.允许缺货
13.拥有运输基础设施、专门承担普通运输需求的运输组织是
A.公共承运组织 B.联运组织 C.特殊运输组织 D.货运代理组织
14.目前,国内多式联运具有多种形式,天津一上海—九江—南昌的运输属于
A.水水联运 B.水陆联运 C.陆陆联运 D.陆空联运
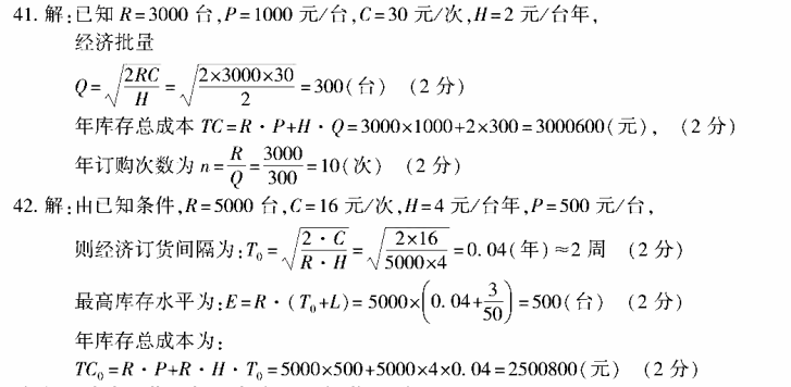
15.件杂货成组运输的最理想形式是
A.铁路运输 B.公路运输 C。零担运输 D.集装箱运输
16.按规定的商品数量在一个指定的时间范围内进行配送的形式是
A.定时配送 B.定量配送 C.即时配送 D.定时定量配送
17.配送中心作为配送活动的组织者和承担者,最主要的作用是
A.大大减少交易次数 B.可产生规模效应
C.能减少客户的库存 D.能有效地控制商品质量
18.配送中心可以有效地分配货源,调节商品生产与消费、进货与销售之间的时间差异,这是通过配送中心的哪项功能实现的?
A.进货 歌储存 c.流通加工 D.配货、送货
19.从狭义角度来理解,物流信息是指直接产生于物流活动的信息,不包括
A.物流设施信息 B.物流人员信息 C. 库存信息 D.市场信息
20.物流信息系统的开发可以分为5个阶段,其起始阶段是
A.系统分析阶段 B.系统规划阶段
C.系统设计阶段 D.系统实施阶段
21.只要物流信息系统正式运行,将伴随其整个生命周期的是
A.系统规划工作 B.系统分析工作
C.系统设计工作 D.系统维护工作
22.物流信息系统开发存在4种形式,其中开发风险最大的是
A.自行开发 B.委托编程 C.委托开发 D.购用软件包
23.由William Kin9提出的一种确定信息系统战略嗣标的方法是
A.关键成功因素法 B. 战略目标集转移法
C.企业系统规划法D.图上作业法
24.在物流信息系统分析阶段,需要提交的书面材料是
A.子系统分析报告 B.系统方案说明书
C.规划方案报告 D.系统体系说明书
25.物流成本按照物流的功能进行分类,可以分为:物流管理费、信息流通费和
A.流通加工费 B.供应物流费 C.销售物流费 D.物品流通费
26.在作业成本法中,为了产出作业或产品而发生的费用支出是
A.资源 B.作业 C.成本对象 D.成本动因
27.关于现代物流质量管理的特点,说法错误的是
A。管理对象全面 B.管理范围全面
C.把满足用户需要放在第一位D.全部高层人员参加管理
28.现代物流管理的第一目标是
A.成本低 B.收益高 C.顾客满意 D.快速响应
29.果蔬类产品一般都有一个最适宜储存的冷藏温度,通常对于这类产鼹的气调保鲜,温度的选择一般要比普通冷藏温度
A.高l℃~3℃ B.低l℃~3℃ C.高3℃~5℃ D.低3℃~5℃
30.在ABC库存分类法中,A类库存品的品种数占总库存品种数的
A.10%~l5% B.15%~20% C.20%~25% D.25%~30%
第二部分非选择题
二、填空题:本大题共l0空。每空l分。共10分。
31.电子商务网络主要由两种网络组成,一是电子商务商流、信息流、_____网络,二是 _____。
32.库存定义为:储存作为今后按预定的目的使用而处于闲置或_____状态的物品。广义的库存还包括处于制造加工状态和_____状态的物品。
33.在组织商品运输时,商品不合理运输的3种表现形式有:运距方面的不合理运输、 _____方面的不合理运输以及_____方面的不合理运输。
34.对于在不同位置和不同距离区段的客户来说,其送货方式的选择应该通过确定配送与直送的_____,划分配送与直送的 _____ 。
35.现代化运输有5种基本运输方式,其中,我国最主要的运输方式是_____运输;不需要中途换装,可实现商品直达的运输方式是_____运输。
三、简答题:本大题共5小题。每小题6分,共30势。
36.列举常见的物流、配送系统网络出现的问题。
37.简述运输的概念以及商品运输业务的操作程序。
38. 什么是共同配送?共同配送有哪几种形式?
39.简述物流信息系统规划的主要内容。
40.企业物流服务的管理流程有哪几个步骤?
四、计算题:本大题共2小题,每小题6分,共l2分。
41.某电子商务企业每年销售某种洗衣机3000台。已知该商品的单位购进成本为1000元,订购成本为30元,储存成本为2元,求经济批量、年库存总成本和年订购次数。
42。某超市每年销售某种电器5000台,该电器的单价为500元,每次的订购成本为l6元,每件商品每年的库存持有成本为4元。如果前置时间为3周,求经济订货间隔、最高库存水平和库存总成本。(一年按50周计算)
五、论述题:本大题共2小题,每小题9分,共l8分。
43.论述影响仓库储存能力的主要因素以及合理安排货位应遵循的原则。
44.什么是配送?物流与配送的差别主要体现在哪些方面?
全国2018年4月自学考试电子商务与现代物流试题答案
一、单项选择题:本大题共30小题,每小题1分,共30分。
1.A2.B3.D4.D5.A
6.B7.C8 B9.D10.C
11.B12.C13.A14.A15.D
16.B17.A18.B19.D20.B
21.D22.A23.B24.B25.D
26.A27.D28.C29.A30.B
二、填空题:本大题共10空,每空1分,共10分。
31.资金流 配送网络
32.非生产 运输
33.流向 浪费运力
34.成本分歧点 区域范围
35.铁路 公路
三、简答题:本大题共5小题,每小题6分,共30分。
36.物流、配送系统网络出现的问题冇:
(1)送货时间太长。(1分)
(2)送货不准时,往往延迟。(1分)
(3)因为缺货,所订的货无法配送。(1分)
(4)送货时间不稳定。(1分)
(5)消费者订货后无法知道送货的具体信息。(1分)
(6)不知向谁反映配送中出现的问题。(1分)
37.运输的定义:用运输设备将物品从一地点向另一地点运送。(3分)
商品运输的业务操作程序主要包括以下几项:
(1)商品的托运和承运。(1分)
(2)商品的装车和卸车。(1分)
(3 )商品的到达与交付。(1分)
38.共同配送是以提高经济效益为目标,由几个配送企业联合起来集小量为大量,共同利用同一配送设施或配送车辆进行配送的方式。(3分)
共同配送的方式有以下几种:
(1)共同集货型。(1分)
(2 )共同送货型。(1分)
(3)共同集送型。(1分)
39.物流信息系统规划的主要内容有:
(1)物流信息系统的目标、约束及总体结构。(2分)
(2)单位(企业、部门)的现状。(1分)
(3)物流业务流程的现状、存在的问题以及在新技术条件下的流程重组。(2分)
(4)对影响规划的信息技术发展的预测。(1分)
40.企业物流服务的管理流程主要有以下几个步骤:
(1)确定物流服务要素。(1分)
(2)收集物流服务信息。(1分)
(3)分析比较,确定物流服务水平。(1分)
(4)进行顾客服务需求分类。(1分)
(5)根据不同的顾客群体制定出相应的物流服务组合战略。(1分)
(6)物流服务的绩效评价。(1分)
四、计算题:本大题共2小题,每小题6分,共12分。

五、论述题:本大题共2小题,每小题9分,共18分。
43.影响仓库储存能力的因素主要有以下几个方面:
(1)仓库储存面积。(2分)
(2)地坪承载能力。(2分)
(3)商品允许堆码高度。(2分)
合理安排货位应遵循以下原则:
(1)确保储存商品的安全。(1分)
(2)方便作业。(1分)
(3)提高仓容利用率。(1分)
44.配送:在经济合理区域范围内,根据用户要求,对物品进行拣选、加工、包装、分割、组配等作业,并按时送达指定地点的物流活动。(1分)
物流与配送的差別主要体现在以下几方面:
(1)从辐射范围看,物流辐射范围大,配送辐射范围小。(2分)
(2)从作业在供应链的位置看,物流作业一般发生在供应链的上游和前端靠近制造商的地方,配送一般发生在下游和未端靠近最终消费者的地方。(2分)
(3)从包含的具体作业看,物流包括运输、储存、装卸搬运、包装、流通加工、物流信息处理及一些增值服务,配送则除包含上述作业之外,还包括分拣、拣选等标志性作业。(2分)
(4)从处理的流体特征看,物流处理的流体具有少品种、大批量、少批次等特点,配送则相反,具有多品种、小批量、多批次等特点。(2分)
本文标签:广东自考 管理类 广东2018年4月自考电子商务与现代物流真题及答案
转载请注明:文章转载自(http://www.zikaogd.com)
《广东自考网》免责声明:
1、由于考试政策等各方面情况的调整与变化,本网提供的考试信息仅供参考,最终考试信息请以省考试院及院校官方发布的信息为准。
2、本站内容部分信息均来源网络收集整理或来源出处标注为其它媒体的稿件转载,免费转载出于非商业性学习目的,版权归原作者所有,如有内容与版权问题等请与本站联系。联系邮箱:812379481@qq.com。





