全国2009年1月高等教育自学考试计算机通信网试题
编辑整理:广东自考网 发表时间:2018-05-24 07:04:55
【加入自考交流群】
《自考视频课程》名师讲解,轻松易懂,助您轻松上岸!低至199元/科!
课程代码:02373
一、单项选择题(本大题共20小题,每小题1分,共20分)
在每小题列出的四个备选项中只有一个是符合题目要求的,请将其代码填写在题后的括号内.错选、多选或未选均无分.
1.OSI参考模型中,提供可靠的端到端通信服务的功能层是( )
A.网络层
B.运输层
C.应用层
D.数据链路层
2.数据链路层的协议数据单元(PDU)是( )
A.比特
B.帧
C.分组
D.报文
3.Internet网络本质上属于( )
A.电路交换网络
B.报文交换网络
C.分组交换网络
D.虚电路网络
4.理想、完善和可靠的网络服务是( )
A.A型网络服务
B.B型网络服务
C.C型网络服务
D.D型网络服务
5.数字数据网(DDN)提供( )
A.电路交换连接
B.逻辑连接
C.永久交叉连接
D.半永久交叉连接
6.使用CSMA/CD协议的常规局域网是( )
A.总线型局域网
B.环型局域网
C.令牌环局域网
D.令牌总线局域网
7.在中继器连接的网络中,需要遵守5-4-3规则,其含义是( )
A.用3个中继器连接4个网段,最多不能超过5个网段
B.用4个中继器连接最少3个网段,最多连接5个网段
C.用5个中继器连接4个网段,只能有3个网段可以连接站点
D.用4个中继器连接5个网段,只能有3个网段可以连接站点
8.固化在网卡中的地址称为( )
A.MAC地址
B.单播地址
C.组播地址
D.广播地址
9.TCP协议的流量控制手段采用( )
A.停止-等待策略
B.源抑制策略
C.滑动窗口法
D.设置生存时间
10.某IP地址169.1.9.10属于( )
A.A类地址
B.B类地址
C.C类地址
D.D类地址
11.LAN交换机是( )
A.工作在第1层的多端口中继器
B.工作在第2层的多端口集线器
C.工作在第2层的多端口路由器
D.工作在第2层的多端口网桥
12.在数据报服务中,负责端到端的差错处理和流量控制的是( )
A.交换节点
B.网络
C.主机
D.路由器
13.网络故障管理的作用是( )
A.使网络性能达到最佳
B.监测网络运行
C.管理网络用户
D.实现用户计费
14.在OSI参考模型中,位于不同子系统的同一层相互交换信息的实体构成了( )
A.相邻实体
B.对等实体
C.传输实体
D.通信实体
15.著名的以太网是基带LAN系统,使用数字信号传输,采用( )
A.不归零编码
B.归零编码
C.曼彻斯特编码
D.4B/5B编码
16.增加VLAN带来的好处不包括( )
A.交换机不需要重新配置
B.广播可以得到控制
C.机密数据可以得到保护
D.减少工作站移动所需费用
17.面向无连接的LLC子层操作类型1的特点是( )
A.有流量控制
B.有差错控制
C.没有确认
D.需要建立逻辑连接
18.Internet运输层协议包括( )
A.TCP、FTP
B.UDP、IP
C.TCP、IP
D.TCP、UDP
19.不采用分组交换技术的网络是( )
A.X.25
B.ISDN网络
C.帧中继网络
D.ATM网络
20.帧中继发展的必要条件是用户终端的智能化和( )
A.交换机处理速度加快
B.用户终端存储能力增加
C.传输质量提高
D.传输速度增加
二、填空题(本大题共15小题,每小题1分,共15分)
请在每小题的空格中填上正确答案.错填、不填均无分.
21.一个排队系统由排队和__________组成.
22.分散式网络是集中式网络的扩展,它是__________网与格状网的混合物.
23.实现全双工局域网的必要前提是____________,因为全双工要求只有两个站的点对点的连接.
24.用来表示图的边连通程度的是__________,称为图的结合度.
25.网桥主要有透明网桥和__________网桥等类型.
26.IEEE802.2是局域网__________子层遵循的标准.
27.RARP协议实现__________地址到IP地址的解析过程.
28.FTP使用__________作为其运输层协议.
29.一个URL由三部分组成,它们是超文本传送协议代码、__________、服务器定位文档的全路径名.
30.HDLC以一组特定的比特序列即__________来标志一帧的起始和终止.
31.面向连接的网络服务方式在__________确定路由.
32.X.25主要是为__________网络定义的标准.
33.UDP协议提供不可靠、__________的服务.
34.在TCP/IP模型的运输层中,传送的数据单位是__________.
35.帧中继采用__________协议作为数据链路层协议.
三、简答题(本大题共5小题,每小题5分,共25分)
36.简述协议与服务的区别和关系.
37.简述TCP/IP利用"源抑制"策略进行拥塞控制的过程.
38.简述CSMA/CD的控制方法.
39.简述运输层协议与网络层服务的关系.
40.简述计算机通信网的主要任务.
四、画图题(本大题共4小题,每小题5分,共20分)
41.画出TCP通过"三次握手"建立连接的过程.
42.画出M/M/1排队系统的模型.
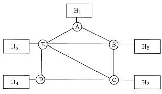
43.假设网络刚启动建立两条虚电路:(1)H1→A→B→C→H3,(2)H1→A→B→C→E→H5.当两条虚电路同时工作时,试画出上述两种情况的相关节点的虚电路表.
网络的拓扑结构如题43图所示,其中:H1、H2、H3、H4、H5为主机,A、B、C、D、E为网络节点.
题43图
44.画出局域网参考模型的示意图.
五、计算题(本大题共4小题,每小题5分,共20分)
45.一个1 km长的10 Mbps的CSMA/CD局域网,其传播速度等于200 m/μs,数据帧的长度是256比特,其中包括用于帧头、校验和以及其他开销的32比特.假设没有冲突发生,确认帧发送和处理时间忽略,那么最远站点之间有效数据速率(不包括开销)是多少?
46.假定IP的B类地址不是用16位,而是用20位作为B类地址的网络号部分,那么将会有多少个B类网络?
47.一个3 600比特长的TCP报文传到IP层,加上20字节的首部后成为数据报.经由传输的互联网由两个局域网通过路由器连接起来,但第二个局域网所能传送的最长数据帧中的数据部分只有150字节,因此数据报在路由器必须进行分片.试计算出第二个局域网向其上层传送的各分片结构首部(即片头)和数据的长度,并作必要说明.
48.设M/M/1排队系统的λ=9 600分组/分,数据传输速率为C=9 600比特/秒,系统的平均时延S=0.03125秒,试求:
(1)分组平均长度;
(2)系统中平均分组数.
本文标签:广东自考 工学类 全国2009年1月高等教育自学考试计算机通信网试题
转载请注明:文章转载自(http://www.zikaogd.com)
《广东自考网》免责声明:
1、由于考试政策等各方面情况的调整与变化,本网提供的考试信息仅供参考,最终考试信息请以省考试院及院校官方发布的信息为准。
2、本站内容部分信息均来源网络收集整理或来源出处标注为其它媒体的稿件转载,免费转载出于非商业性学习目的,版权归原作者所有,如有内容与版权问题等请与本站联系。联系邮箱:812379481@qq.com。





