全国2009年10月高等教育自学考试数据结构导论试
编辑整理:广东自考网 发表时间:2018-05-24 07:05:12
【加入自考交流群】
《自考视频课程》名师讲解,轻松易懂,助您轻松上岸!低至199元/科!
全国2009年10月高等教育自学考试数据结构导论试题
课程代码:02142
一、单项选择题(本大题共15小题,每小题2分,共30分)
在每小题列出的四个备选项中只有一个是符合题目要求的,请将其代码填写在题后的括号内.错选、多选或未选均无分.
1.在表长为n的顺序表上做插入运算,平均要移动的结点数为( )
A.n/4
B.n/3
C.n/2
D.n
2.顺序表中有19个元素,第一个元素的地址为200,且每个元素占一个字节,则第14个元素的存储地址为( )
A.212
B.213
C.214
D.215
3.由顶点V1,V2,V3构成的图的邻接矩阵为
,则该图中顶点V1的出度为( )
A.0
B.1
C.2
D.3
4.元素的进栈次序为A,B,C,D,E,则退栈中不可能的序列是( )
A.A,B,C,D,E
B.B,C,D,E,A
C.E,A,B,C,D
D.E,D,C,B,A
5.由带权为9,2,5,7的四个叶子结点构造一棵哈夫曼树,该树的带权路径长度为( )
A.23
B.37
C.44
D.46
6.在已知尾指针的单循环链表中,插入一个新结点使之成为首结点,其算法的时间复杂度为( )
A.O(1)
B.O(log2n)
C.O(n)
D.O(n2)
7.已知一个有序表为(13,18,24,35,47,50,62,83,90,115,134),当二分查找值为90的元素时,查找成功时需比较的次数为( )
A.1
B.2
C.3
D.4
8.在查找顺序表各结点概率相等的情况下,顺序按值查找某个元素的算法时间复杂度为( )
A.O(1)
B.O(n)
C.O(
)
D.O(log2n)
9.下列各项键值序列中不是堆的为( )
A.{5,23,16,68,94,72,71,73}
B.{5,16,23,68,94,72,71,73}
C.{5,23,16,73,94,72,71,68}
D.{5,23,16,68,73,71,72,94}
10.在线性表的下列存储结构中进行插入、删除运算,花费时间最多的是( )
A.单链表
B.双链表
C.顺序表
D.单循环链表
11.在栈中进行插入和删除操作的一端称为( )
A.栈顶
B.栈底
C.任意位置
D.指定位置
12.用n个值构造一棵二叉排序树,它的最大高度为( )
A.n/2
B. n
C.
D.llog2n
13.冒泡排序的时间复杂度是( )
A.O(n2)
B.O(nlog2n)
C.O(n)
D.O(log2n)
14.设无向图的邻接表如题14图所示,则该图的边数为( )
题14图
A.4
B.5
C.10
D.20
15.带表头结点链队列的队头和队尾指针分别为front和rear,则判断队空的条件为( )
A.front==rear
B.front!=NULL
C.rear!=NULL
D.front==NULL
二、填空题(本大题共13小题,每小题2分,共26分)
请在每小题的空格中填上正确答案.错填、不填均无分.
16.下列程序段的时间复杂度为________.
i=0;s=0;
while(i<n)
{ i++;
s=s+i;
}
17.数据的逻辑结构被分为集合结构、________、树形结构和图状结构4种.
18.线性表中所含结点的个数称为________.
19.向一个栈顶指针为top的链栈中插入一个新结点*p时,应执行________和top=p操作.
20.设一个顺序栈S,元素s1,s2,s3,s4,s5,s6依次进栈,如果6个元素的退栈顺序为s2,s3,s4,s6,s5,s1,则顺序栈的容量至少为________.
21.若满二叉树的结点数为n,则其高度为________.
22.在一棵具有n个结点的完全二叉树中,从树根起,自上而下、从左到右地给所有结点编号.若编号为i的结点有父结点,那么其父结点的编号为________.
23.深度为k的二叉树,结点数最多有________个.
24.某二叉树的后根遍历为ABKCBPM,则该二叉树的根为________.
25.在一个具有n个顶点的无向图中,顶点的度最大可达________.
26.有向图G的邻接矩阵为A,如果图中存在弧<Vi,Vj>,则A[i][j]的值为________.
27.顺序查找算法的平均查找长度为________.
28.二路归并排序的平均时间复杂度为________.
三、应用题(本大题共5小题,每小题6分,共30分)
29.某通讯电文由A,B,C,D,E,F六个字符编码组成,每个字符编码在电文中出现的次数分别是6,5,9,10,20,1,试画出这六个字符编码所用的哈夫曼树.
30.已知一棵二叉树的顺序存储结构如题30图所示,其中∧表示虚结点,试构造该二叉树.
| A | B | G | C | D | ∧ | H | ∧ | ∧ | E | F |

题31图
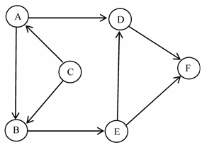
32.写出题32图所示的有向图的邻接矩阵及该图的所有拓扑排序序列.

题32图
33.写出键值(83,40,63,13,84,35,96,57,39,79,61,15)应用二路归并排序算法从小到大排序后各趟的结果.
四、算法设计题(本大题共2小题,每小题7分,共14分)
34.若两棵二叉树B1和B2皆为空,或者皆不空且B1的左、右子树和B2的左、右子树分别相似,则称二叉树B1和B2相似.试编写算法,判别给定两棵二叉树是否相似.
35.设顺序表va中的数据元素递增有序.试编写算法实现将x插入到顺序表的适当位置上,以保持该表的有序性.
本文标签:广东自考 历年真题 全国2009年10月高等教育自学考试数据结构导论试
转载请注明:文章转载自(http://www.zikaogd.com)
《广东自考网》免责声明:
1、由于考试政策等各方面情况的调整与变化,本网提供的考试信息仅供参考,最终考试信息请以省考试院及院校官方发布的信息为准。
2、本站内容部分信息均来源网络收集整理或来源出处标注为其它媒体的稿件转载,免费转载出于非商业性学习目的,版权归原作者所有,如有内容与版权问题等请与本站联系。联系邮箱:812379481@qq.com。





